Ruhr-Universität Bochum
Fakultät für Chemie und Biochemie
LS Organische Chemie II
Prof. Dr. Stefan Huber
Head of Department
Mail: NC 4/171
Office: NC 4/ 170
Universitätsstraße 150
44801 Bochum
Germany
Tel: (+49)234-32-24593
E-mail: stefan.m.huber@rub.de
Office hours (Sprechzeiten)
Please arrange via email.
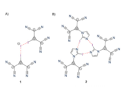
'Anti-Electrostatic' (Inter-Anion) Chalcogen Bonding Interactions
Just like halogen bonding, chalcogen bonding is not purely electrostatic - orbital interactions are also very important and may override the electrostatics. We recently published an illustrative example for this: inter-anion chalcogen bonding.
October 2025
Prof. Kirmse died
Prof. Wolfgang Kirmse, former Chair of Organic Chemistry II at Ruhr-University Bochum, has died on October 3rd. He was known, inter alia, for many fundamental contribution to carbocation chemistry and was a very well-visible representative of our chemistry department for a long time. Rest in peace.
October 2025
Goodbye to Julian
At the end of August, we said goodbye to Julian Wolf, former PhD student and postdoc. Thanks a lot for your contributions, particularly all the work to establish highly enantioselective XB catalysis, and all the best!
September 2025
New Group Members
We welcome Katyayani and Jelke als new PhD students to our group - both will explore different aspects of halogen and chalcogen bonding organocatalysis. All the best!
August 2025
Lab Renovation Finished
We have now finally completed the renovation of our synthesis labs. Thanks to Ruhr-University Bochum for providing us with such excellent infrastructure!
August 2025
Halogen Bonding in Solution: Under Pressure
A paper with a Queen song title? Check! (Even though it was an easy one). We've investigated the high pressure behavior of halogen bonding and found some unexpected solvent dependence.
>>Read our publication
August 2025
Farewell to Saber
Last monday, we bid farewell to Saber Mehrparvar now that his two-year postdoc stay came to an end. He tackled a difficult project, under high pressure, which will hopefully be published soon. Saber, it was a GREAT pleasure having you around, all the best for your future!
July 2025
Highly Enantioselective Organocatalysis with Bidentate Halogen Bond Donors
In a model Mukaiyama aldol reaction with unbiased substrates, high enantioselectivity was achieved with a modifiable bidentate iodine(I)-based halogen bonding organocatalyst. The crucial role of halogen bonding was confirmed by the low performance of the corresponding hydrogen bond donor and via DFT calculations.
>>Read our publication
May 2025
Group Update
Julian Wolf brilliantly defended his thesis, congrats! His opus magnum can be found here. Thanks to Raphael Stoll, for chairing and to Gerald Dyker, Nils Metzler-Nolte for co-reviewing.
March 2025
Asymmetric Counteranion-Directed Halogen Bonding Catalysis
The combined power of halogen bonding and asymmetric counteranion-directed catalysis. Thanks to Christian Merten for strcture elucidation and to the List group for this beautiful cooperation! A perfect RESOLV project!
>>Read our publication
March 2025
Ortho-Carborane-Derived Halogen Bonding Organocatalysts
So far, strong neutral halogen bond donors were often based on fluoroarenes. Here, we present ortho-barborane-based systems that clearly outcompete them. Thanks to Jas Ward and Kari Rissanen for the X-ray analysis and to Sandro Keller for assistence with ITC.
>>Read our publication
February 2025
Goodbye to Dominik
We had to say goodbye to Dominik. Thanks a lot for your contributions and all the best! His key finding... is hopefully published soon ;)
October 2024
Dimethylene-Cyclopropanide Units as Building Blocks for Fluorescence Dyes
We introduce iodoloisoxazolium salts as iodine(III)-based halogen bond donors and evaluate their potential as organocatalysts.
>>Read our publication
September 2024
Dimethylene-Cyclopropanide Units as Building Blocks for Fluorescence Dyes
We continue our exploration of (halogen/chalcogen-free...) bis(dicyanomethid)cyclopropenium units, now in cooperation with @EiglerLab. Turns out, they not only stabilize radicals, the also form fluorescence dyes!
>>Read our publication
July 2024
Halogen, Chalcogen, Pnictogen, and Tetrel Bonding in Non-Covalent Organocatalysis: An Update
Do you feel like you've missed the latest developments in organocatalysis with halogen, chalcogen, pnictogen and tetrel bonding? We got you covered (essentially an update to our 2019 review in ACS Catalysis)
>>Read our publication
May 2024
Elucidating the Binding Mode of Sulfur- and Selenium-Based Cationic Chalcogen-Bond Donors
How do thio-, seleno-, and telluroimidazolium cations bind anions? Is it only chalcogen bonding or do other interactions also play a major role? We looked at this in detail:
>>Read our publication
April 2024
Group Update
Congratulations to Dominik for successfully defending his excellent thesis!
March 2024
Group Update
We welcome back Annika from her parental leave. This also meant we had to say goodbye to Sebastian, who did a great job navigating us through a challenging phase (moving!). All the best!
March 2024
Group Update
Today we said good-bye to our long-time lab assistent Sandra. Sandra did a great job to keep our labs running and help us move to new labs, thank your very much for all your effors. While we are sad to see you leave us, we wish you all the best for the next step in your career.
December 2023
A Halogen Bonding Molecular Tweezer
Most projects are challenging, but some molecules are particularly "resistent"... After many efforts, we finally present the first modified version of our terphenyl-based halogen bond donors, here as building blocks for a molecular tweezer.
>>Read Publication
November 2023
Evaluation of a Bidentate 'Clamp'-Like Halogen-Bond Doner Motif Based of Iodonium(III) Moieties
We report a further bidentate iodine(III)-based organocatalyst, which is more flexible than our erlier "flat" version.
>>Read Publication
November 2023
A Combined Halogen- and Chalcogen-Bonding Organocatalyst
After having studied pure halogen- an chalcogen bond donors as catalysts for some time now, we now present our very first steps into mixed halogen-/chalcogen bondig systems
>>Read Publication in Adv. Synth. Cat.
August 2023
Group Update
We welcome the new Postdoc Saber and the new PhD students Tushar and Jan
>>view Co-workers
August 2023

